Continuăm seria dezvăluirilor de la Băile Herculane tot despre omul de afaceri Teleagă Vasile și ilegalitățile comise, având complicitatea autorităților locale.
La data de 22.11.2013 se emite de către Primaria Orașului Băile Herculane Certificatul de urbanism cu nr.48, iar în data de 22.10.2014 se emite Autorizația de construire nr.35, fiind depusă și o documentație tehnică în acest sens.
Este interesant faptul că Autorizația de construcție nr.35/22.10.2014 este semnată de arhitectul șef și de către primarul orașului Băile Herculane, Vasilescu Nicușor, aceleași persoane care au formulat o plângere penală pentru edificarea unor construcții în mod ilegal de către Teleagă Vasile, ”uitând” că solicitarea lui Teleagă Vasile nu fost pentru intrarea în legalitate cu privire la construcțiile începute în cursul anului 2013, practic se cerea o nouă autorizație de construire, ca și cum nu s-ar fi întâmplat absolut nimic și totul ar fi pornit de la zero.
În data de 16.02.2015 Teleagă Vasile aduce la cunoștința Primăriei Orașului Băile Herculane că, începând cu data de 26.02.2015, vor începe lucrările de “construire autorizate” la CF 31420 și 31421, în condițiile în care aceste construcții erau în mare parte deja finalizate.
În urma sesizării făcute de către celălalt asociat al lui Teleagă Vasile, adică SC”SLG GEANINA IMPEX SRL, a fost demarat un control de către Inspectoratul Județean în Construcții Caraș Severin la Primăria Băile Herculane, vizând, cu precădere, construcțiile edificate în mod ilegal de către Teleagă Vasile, fiind întocmit în acest sens Procesul-verbal nr.22601/29.07.2015. Inspectorii au constatat că imobilul menționat în autorizația de construcție cu nr.35/22.10.2014 a fost edificat înainte de eliberarea autorizației, de aceea s-a menționat în acest proces-verbal necesitatea efectuării de către primăria Băile Herculane a unei expertize tehnice de constatare a vechimii construcțiilor, expertiză care, după câte știm, nici până la această dată nu a fost efectuată.
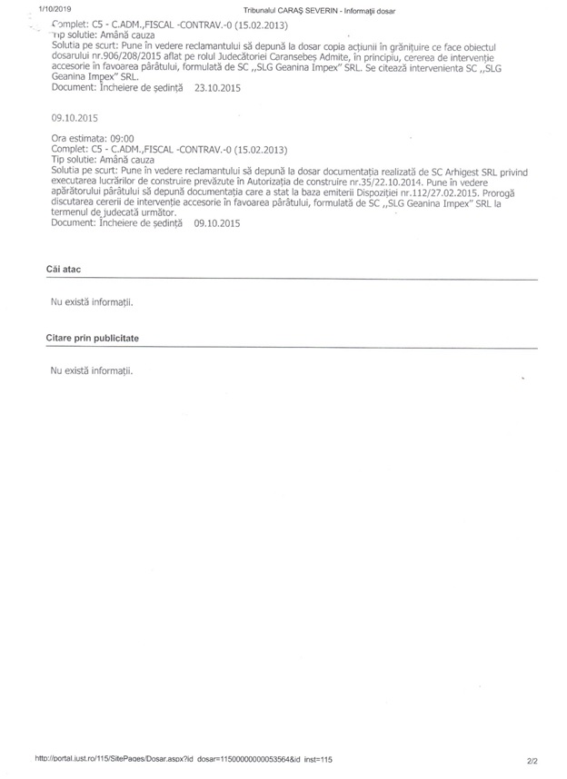
În urma acestor constatări, Prefectul Județului Caraș Severin a demarat, în contencios administrativ, o acțiune de anulare a autorizației de contrucție cu nr. 35/22.10.2014, emisă de Primăria Băile Herculane ceea ce a și făcut obiectul dosarului cu nr. 2587/115/2015 la Tribunalul Caraș Severin.
Pardoxal, prima instanță respinge acțiunea în contencios administrativ pe excepția lipsei de interes a Prefectului județului Caraș Severin în a promova această acțiune. Întrebarea care se pune în această situație este de ce o instanță specializată litigii de contencios administrativ nu cunoaște faptul că Instituția Prefectului are calitatea și obligația legală de a supune controlului instanțelor de judecată competente orice încălcări ale prevederilor legale care stau la baza emiterii actelor administrative locale.
Curtea de Apel Timișoara, prin Decizia civilă nr.614/02.02.2017, a respins recursul formulat de Instituția Prefectului. În acest context, Curtea de Apel a reținut faptul că trebuie să se analizeze din punct de vedere faptic dacă imobilul realizat în regim de înălțime parter din cărămidă BCA, finalizat în proporție de 60%, care a fost efectuat fără autorizație de construire, așa cum se reține în procesul-verbal de constatare nr. 12449/04.10.2013, a fost demolat, și, ulterior, pe același amplasament topografic ar fi fost ridicată o altă construcție cu regim de înălțime parter cu șarpantă metalică în proporție de 90%, precum și un perete de piatră zidită înspre râul Belareca. În cazul acestor constatări, care sunt prezentate în procesul-verbal antemenționat, instanța de contecios administrativ ar însemna să se substituie instanței civile pentru a stabili stare de fapt conformă cu realitatea, ce poate fi realizată doar în urma unei constatări de ordin ștințific (expertiză tehnică de specialitate topografică), în vederea concluzionării cu referire la respectarea drepturilor civile, așa cum s-a arătat mai sus, și nicidecum a Legii nr.554/2004, raportat la Legea nr. 50/1991.
Dar nici până la data soluționării cauzei Primăria Herculane nu a depus o asemenea expertiză, angajându-și pentru aceste litigii un avocat în persoana d-lui Madina Constantin Sorin, care a avut o poziție pro-Teleagă Vasile și contrară tocmai poziției adoptate de către viceprimarul Domilescu Gore care nu a avut nici un fel de obiecțiune cu privire la constatările organelor de control din cadrul Inspectoratului Județean în Construcții Caraș Severin. Mai mult, acesta s-a angajat să pună în aplicare toate cele constatate de organele de control, inclusiv Ordinul de demolare nr.112/27.02.2015, emis de Primarul Orașului Băile Herculane executoriu, însă, în mod ciudat, deși reprezentantul societății SC”SLG GEANINA IMPEX “SRL a fost în audiențe la primarul interimar Domilescu Gore și la actualul edil Miclău Cristian, nu s-a întâmplat absolut nimic, motivându-se că primăria nu are logistica necesară punerii în executare a acelui ordin de demolare și că existau o serie de litigii pe rolul instanțelor împotriva ordinului de demolare 112/27.02.2015.
Facem precizarea că niciodată acest ordin de demolare nu a fost suspendat, deși contestat în cadrul Dosarului nr.2153/115/2015 al Tribunalului Caraș Severin prin Încheierea nr.989/18.07.2017 a fost admisă excepția perimării invocate din oficiu și, prin urmare, acțiunea în contencios adiministrativ prin care Teleagă Vasile a atacat ordinul de demolare 112/27.02.2015 a rămas perimată, soluția fiind definitivă, nefiind formulată calea de atac a recursului.

Prin urmare, nu vedem de ce nici în acest moment Primăria Băile Herculane nu face nimic, în sensul punerii în aplicare a acelui ordin de demolare, nu a efectuat expertiza solicitată de organele de control din cadrul Inspectoratului în construcții Caraș Severin și nu a luat măsuri de oprire a lucrărilor ce sunt efectuate și în prezent de către Teleagă Vasile.
De menționat este faptul că SC”SLG GEANINA IMPEX SRL este și în prezent în litigiu cu Unitatea Administrativ Teritorială Băile Herculane în Dosarul nr.3076/115/2015*, fiind în recurs la Înalta Curte de Casație și Justiție tocmai pentru modul abuziv în care Teleagă Vasile a ocupat și edificat construcții ilegale pe care le foloseste în activități comeciale pe terenul deținut în folosință de această societate.
Nu în ultimul rând, trebuie precizat faptul că în data de 21.12.2017 Unitatea Administrativ Teritorială a orașului Băile Herculane a formulat, deși avea o dispoziție de demolare executorie față de Teleagă Vasile, în speță ordinul de demolare 112 /27.02.2015, valabil și în prezent, o cerere intemeiată pe Legea 50/1991 de autorizare desființare lucrări, respinsă pe excepția lipsei calității procesuale active a Unității Administrativ Teritorială, deși potivit legii primarul orașului Băile Herculane putea face o astfel de solicitare pentru toate celelalte construcții care nu fac obiectul Ordinului de demolare sau chiar să emită un nou ordin de demolare în procedură administrativă.
Lucrările de construcții efectuate de Teleagă Vasile, un așa-zis investitor, sunt ilegale, au cauzat și cauzează în continuare o tulburare în activitatea autorității locale, un pericol social deoarece creează precedente periculoase în disciplinei în construcții. Acesta s-a extins în mod ilegal atât pe domeniul public, cât și pe domeniul privat al statului, efectuând ilegal lucrări de construcție pe malul râului Belareca, dinspre Hanul Vasy XXL spre podul de la intrare în Băile Herculane, extizându-se fără nici un drept și pe terenul aflat în posesia societății SC”SLG GEANINA IMPEX SRL.
Primele părți ale materialului pot fi citite aici, sau aici.










Stie cineva ce se intimpla cu apele sulfuroase de la Baile Herculane ? Oamenii se pling ca de fapt , acestea nu mai exista ! Chiar eu am patit-o in vara lui 2017 , la hotelul Afrodita . In bazinul comun femei-barbati , apa era de nesuportat de fierbinte si nici nu mirosea a sulf ( fata de anii anteriori ) ! Femeia care supraveghea , m -a sfatuit sa fac bai de plante !!! Nimeni nu-ti da informatii – este o lege a tacerii ! ma intreb , organele statului din CARAS-SEVERIN , isi fac datoria …Sanepid , protectia consumatorilor . De fapt , acest hotel de 4 stele , nu corespunde nici la 3 stele…doar preturile !